本技術ノートではスイッチング方式のDC-DCコンバータ回路が発生するEMIの発生メカニズムとその抑制対策についてモデル基板による実測の結果を示しながら、3回にわたり説明します。
第1回:DC-DCコンバータの役割と種類、およびスイッチング方式DC-DCコンバータのEMIの特徴
第2回:スイッチング方式DC-DCコンバータ回路におけるEMI発生のメカニズム
第3回:スイッチング方式DC-DCコンバータ回路のEMI抑制手法
DC-DCコンバータとは直流電圧(DC)を異なる直流電圧(DC)に変換する回路です。一般にPCなどの電子機器の給電はACアダプタ―を介して100/200Vの交流電圧から16~20Vの直流電圧に変換して行われます。この直流電圧を図1に示すように、USB機器の駆動電圧5V、ディジタルICの駆動電圧3.3Vや1.2V、また、液晶画面のバックライトの駆動電圧30Vなどの他の電圧に変換する役割を果たす回路がDC-DCコンバータです。

図2に示すようにDC-DCコンバータには大きく分けてリニア方式とスイッチング方式の二つの方式があります。リニア方式(図2(a))は入力と出力の間に直列に制御素子を配置して電圧を降下させる方式であり、入力電圧より低い電圧を安定して出力します。回路が単純でノイズが少なく、安定性に優れていますが、制御素子(トランジスタ)において電力消費が発生し、効率が低く、もっぱら、小電力回路の電源などに利用されます。
スイッチング方式(図2(b))は半導体スイッチを高速でON/OFFすることで電圧を調整、安定化させる方式です。メリットとして、高効率で小型軽量化でき、かつ入力電圧より高い出力の電圧を発生させることが可能なことが挙げられますが、スイッチングノイズを発生し、頻繁にEMI問題を引き起こします。

この技術ノートでは入力電圧よりも高い電圧を出力する昇圧型のスイッチング方式DC-DCコンバータを対象として、回路の構造と動作を説明するとともに、モデル基板を用いて、EMIの特徴やその発生メカニズム、および具多的なEMI対策手法を見ていきます。
図3に昇圧DC-DCコンバータの代表的な回路(非同期型昇圧コンバータ)を示します。直流電圧源Vin[V]、コイルL、半導体スイッチSW、ダイオードDと出力コンデンサCoで構成されます。この回路では入力電圧Vin[V]よりも高い電圧Vout[V]を出力します。

図4はこの回路の動作原理です。スイッチONでは、点Aにおける電圧はグラウンド電位(0V)です。定常状態では、出力コンデンサCoに電荷が蓄えられているため、両端の電圧(Vout)は正なのでダイオードは逆バイアスの状態(OFF)となり、電流は半導体スイッチSWを介してグラウンドに流れます。このときのコイルは自己誘導作用により、電流変化を妨げる方向に起電力が発生するとともに、次式を満足するように電流は増加します。

コイルに蓄えられるエネルギーは次式に示すように電流の二乗に比例するので、”ON”の状態ではコイルに蓄積されるエネルギーは増加します。


スイッチOFFでは、グラウンドに向かう経路が遮断されるため、電流Iは急激に減少し、コイルには電流の変化を抑制する方向に起電力

が発生します。その結果、A点の電圧VA[V]は

に上昇し、入力電圧Vinより高くなります。VAの上昇に伴い、ダイオードDはON状態とになり、電流は出力コンデンサCoに向かって流れるとともに、コイルLに蓄えられていたエネルギーは放出されます。このとき、出力コンデンサCoによって平滑化されるので、出力電圧Voutはほぼ一定に保たれます。
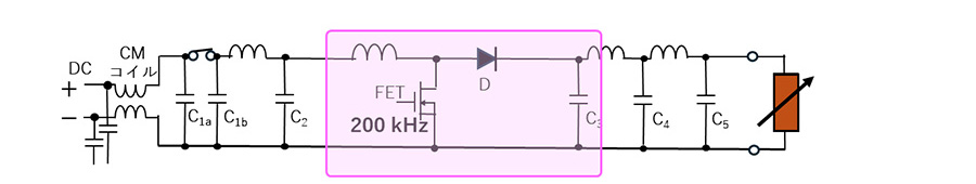
図5に示すようなモデル基板を用いて、昇圧型DC-DCコンバータを駆動した際のEMI特性とその発生メカニズムをみてみましょう。回路のスイッチング周波数は200kHz、入力電圧はDC7V、出力電圧はDC14Vです。


EMIの測定は図6に示すようにループプローブを回路近傍に配置し、回路動作にともない発生する磁界をピックアップすることにより行いました。図7は回路動作時の30~50MHzのEMI特性です。400kHzの間隔でEMIのスペクトルが観測されますが、詳しく見ると、それらは200kHzの奇数次の高調波と偶数次の高調波の列であり、それぞれが交互に発生していることがわかります(例えば、30.6~33.0MHzは主に奇数次の高調波、33.2~36.4MHzはおもに偶数次の高調波)。また、40.8MHzにおいて、EMIはピークとなります。この周波数(40.8MHz)は200kHzの第204次の高調波です。このように奇数次と偶数次の高調波のスペクトルが交互に観測される現象はスイッチング動作におけるDuty比(1周期におけるONの時間の割合)が50%の前後で変化していることを示唆しています(技術ノート「EMIの周波数特性と波源解析」参照)。

図8にDC-DCコンバータの出力段に接続された負荷回路の抵抗を変えたときの、EMIの周波数特性の変化を示します。負荷の変動にともない、EMIの奇数次と偶数次の高調波スペクトルが発生する周波数帯は変化します。これは、負荷の変動とともにON→OFF、OFF→ONのタイミングにおける波形が変化し、Duty比が50%付近で微妙に変動するためと考えることができます。
次回の技術ノート「DC-DCコンバータのEMI発生メカニズムとその対策(2)」では40.8MHzにおいてEMIのレベルがピークとなる理由を説明します。
